【光电智造】大模型工具学习: 方法、作用与机制

今日光电 2026-01-14 18:00

今日光电

  有人说,20世纪是电的世纪,21世纪是光的世纪;知光解电,再小的个体都可以被赋能。追光逐电,光引未来...欢迎来到今日光电!


图片

----追光逐电 光引未来----

摘要:近年来, 以GPT、LLaMA、Qwen、DeepSeek等为代表的大模型在自然语言处理、计算机视觉及多模态等领域取得了突破性进展。然而, 受限于其推理机制、参数规模和固有的训练数据知识等因素, 这些模型在处理复杂任务、解答专业领域问题及生成时效性内容时, 常出现答案不准确乃至事实性偏差幻觉等问题, 严重制约了其在高可靠性场景中的应用。
为突破上述能力瓶颈, 工具学习范式应运而生并迅速成为研究热点, 其核心旨在使大模型理解并使用外部工具以完成特定任务。通过调用数据库、搜索引擎、数学工具等外部工具, 大模型能够超越自身参数化知识, 提升其推理、决策和执行能力, 缓解幻觉问题。
本文系统综述了大模型工具学习的发展脉络与技术进展, 剖析了工具对大模型能力的扩展, 梳理了从上下文学习到微调训练的工具调用机制, 进而探讨了工具调用性能优化、自适应工具生成等关键问题, 分析了大模型工具调用的测评方法, 最后总结了当前工具学习面临的挑战并对大模型工具学习未来发展方向进行展望。
引言
人工智能技术的快速发展推动大模型在自然语言处理、计算机视觉及多模态任务中取得了突破性进展。特别是在自然语言处理领域,GPT、LLaMA、Qwen、DeepSeek等大模型相继问世,其在新闻报道生成[1]、机器翻译[2]等多样化任务中展现了强大的能力。
然而,大模型的能力往往受限于自身参数规模与训练数据覆盖范围[3],面对复杂任务、专业领域问题或需要最新知识支撑的场景时仅依赖模型内部固化的参数化知识,不仅难以输出最优解答,还可能产生看似合理却与事实不符的内容[4-5],这称为幻觉问题。因此,拓展大模型的能力边界,缓解幻觉问题,已成为当前人工智能领域的研究热点。
回顾人类发展历程,工具的使用从石器时代延续至现代工业社会,对人类文明进步起到了不可估量的推动作用。受此启发,研究者开始探索通过让大模型与外部工具交互来增强其能力,这种赋予大模型使用工具能力的技术路径被称为工具学习。
例如:调用数据库工具可让大模型访问结构化数据,实现精准信息检索[6];借助外部文档或搜索引擎,能帮助模型获取训练数据外的最新或专有领域知识[7-8];依托数学工具可显著提升复杂数学问题的解答准确率;通过调用专用领域工具大模型甚至能够进行自主化学研究[9]、无人车自动编队[10]等复杂任务。
此外,部分研究将大模型与真实世界的应用程序编程接口(API)相结合[11-12],进一步强化了其解决实际场景问题的能力。
对大模型工具学习技术进展进行系统性梳理与归纳能帮助后续研究者全面掌握现有研究成果,为其快速开展深度研究提供支撑。现有文献[13-17]对大模型工具学习进行了一定的综述,但缺乏对工具学习能力发展脉络的系统性剖析。为此,本文以大模型工具学习的学习层次、实现代价及外部工具调用的问题解决能力为核心出发点,遵循由浅入深的逻辑,系统分析总结大模型工具学习与调用机制。
框架结构
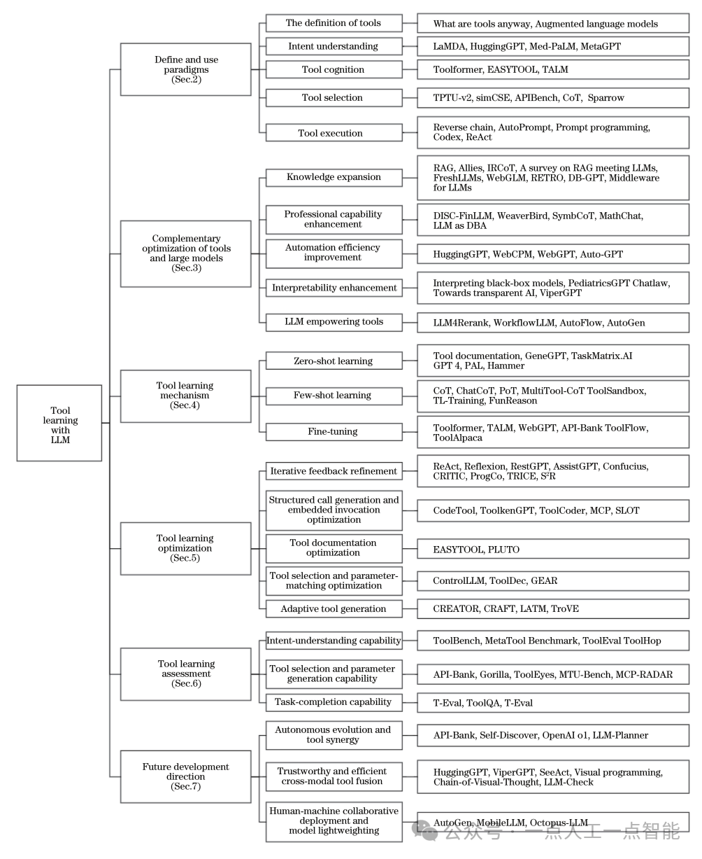
大模型工具学习作为推动大模型从“语言能力”迈向“任务能力”的关键路径,其核心在于逐步建立起模型、工具与场景之间的协同关系,使大模型不仅能够理解指令、生成内容,更能够借助多类型外部工具完成结构化推理、专业任务执行、多模态操作与复杂工作流调度。本章旨在从体系视角构建大模型工具学习的总体结构框架,对后续章节的内容进行统领与铺垫,以实现从概念、能力、机制到优化、评估的系统化呈现。
如图 1所示,本文从工具的定义出发,明确其基本概念,梳理包括意图理解、工具认知、工具决策与工具执行在内的大模型工具学习范式。在此基础上,探讨工具对大模型能力的扩展。
随后,从工具学习机制和工具学习优化两个方面详细分析当前的研究进展,包括基于上下文学习和微调训练的多种工具调用策略,以及如何通过优化手段提高大模型工具调用的准确性、让大模型在特定任务下自主创建新工具等前沿探索。
此外,本文还整理了大模型工具学习能力的评估方法,总结了大模型工具学习面临的挑战并对未来的发展趋势进行展望。
图1 本文总体框架
定义和使用范式
2.1 工具的概念
在大模型工具学习场景中,工具通常指可供大模型调用、辅助其完成特定任务的外部程序或功能模块,通常以函数形式提供标准化接口,大模型可根据任务需求生成对应的函数调用指令并填充参数,通过获取函数执行结果支撑后续推理。尽管不同研究对“工具”的表述存在细微差异,但核心内涵高度一致。
WANG等[13]将工具定义为“在大模型外部运行的计算机程序的函数接口,其中大模型生成函数调用和输入参数以使用该工具”。MIALON等[14]认为工具是“使用规则或特殊token调用的外部模块,其输出包含在大模型的上下文中”。本质而言,工具的核心价值是作为大模型的能力扩展载体,通过与模型的交互,为其补充额外信息或提供专属支持,助力模型完成无法胜任的任务。
2.2 工具使用范式
如图 2所示(彩色效果见《计算机工程》官网HTML版),在大模型结合工具学习过程中,通常遵循“意图理解、工具认知、工具决策、工具执行”的整体架构[15-17]。大模型接收到用户输入后,会对自然语言进行语义解析,通过识别用户需求、分析语境来完成意图理解,这是整个流程的起点,用于明确任务目标与期望输出。在意图确定后,模型进一步调取其内部构建的工具知识库,包括工具的功能定义、所需参数、接口格式,从而建立对候选工具的全面认知。
基于对意图与工具的双重理解,随后进入工具决策阶段,通过对不同工具的能力匹配程度、参数需求等因素进行综合权衡,选择最适合当前任务的工具或工具组合。在工具执行阶段,模型依据决策结果向选定的工具注入正确的参数,触发对应的函数调用、接口请求或外部查询,并将工具返回的结果与模型的语言生成能力结合,形成连贯、准确且任务导向的最终输出。
图2 工具学习步骤
2.2.1 意图理解
意图理解是大模型工具学习的首要环节,要求模型基于用户输入的语义指令与上下文信息,精准识别核心需求并转化为可执行的操作逻辑,这一过程依托多层次语义理解与上下文推理能力。
通过序列到逻辑形式的转换,大模型将自然语言指令解构为结构化逻辑表示,完成语义解析。CHEN等[18]提出的语义槽填充方法利用基于Transformer的双向编码器表示(BERT)的序列标注模型从指令中抽取实体信息,生成标准化的结构化指令。SHEN等[19]在HuggingGPT框架中,直接将用户指令转换为JSON格式的任务描述,为后续流程提供统一输入规范。
在语义解析的基础上,大模型需要对用户指令进行多层级的意图拆解,明确任务执行路径。当任务相对简单时,可通过粗粒度的分类将指令归类到某个特定领域,以缩小后续工具选择范围,如Google的Med-PaLM[20]将“患者胸痛可能病因”归类为“临床诊断”意图,从而触发医学知识库调用;当面对复杂任务需要多个工具协作时,模型进行细粒度的多步意图拆解,如MetaGPT[21]中“订机票”任务被拆解为“航班查、比价、支付”3个步骤,每一步均对应专属工具。通过这种多层级拆解,模型可梳理出清晰的任务执行链路。
在对话式交互场景中,模型需结合对话历史动态更新对当前指令的理解。例如,用户先询问“北京的天气如何?”后续又问“明天呢?”,模型需将第二问的“明天”与第一问的“北京”关联。Google提出的LaMDA[6]采用对话状态跟踪技术,将对话上下文编码为隐含状态向量,使模型在解析后续指令时能自动关联历史信息,保障意图理解的准确性与连贯性。
2.2.2 工具认知
在正确使用工具之前,大模型需先理解工具的核心功能与使用方法,明确每个工具的作用、参数等关键信息,为精准调用奠定基础,即工具认知,相当于让模型对可用工具建立系统性认知。通常,各类工具均配套有相应的文档或API说明,大模型可通过解析文本描述,掌握工具的功能定位与使用规范。
例如:OpenAI提出的Function Call通过提供工具名称、功能描述及参数的JSON格式定义,帮助模型快速理解工具用途;YUAN等[22]提出的EASYTOOL借助ChatGPT从原始工具文档中提取核心功能信息,剔除冗余内容,生成简洁规范的工具描述与使用指南,进一步降低模型的工具理解门槛。
除读取文本说明以外,示例学习与自监督学习也是大模型理解工具的重要途径。一方面,向模型提供工具调用实例可帮助其从具体场景中总结输入输出模式与应用效果;另一方面,在训练阶段融入工具相关信息能强化模型对工具的掌握程度。
SCHICK等[12]提出的Toolformer在模型训练过程中注入API文档描述文本,将API使用说明编码为向量并与模型参数融合,使模型在训练中隐式学习工具功能及参数格式。PARISI等[23]提出的TALM在预训练阶段引入工具调用示例,通过模拟代码执行、API调用等任务,提升模型对工具链的逻辑推理能力。通过上述多种方式,大模型能够全面掌握工具的能力边界与应用场景,熟练习得工具的使用模式。
2.2.3 工具决策
在精准理解用户意图与可用工具的基础上,模型面临的下一个关键步骤是工具决策——从候选工具集中筛选出最适配的工具以满足用户请求。在大模型的工具学习范式下,工具选择环节可能产生一系列错误,例如,选择无关工具(如数学计算请求误选文本摘要工具),产生冗余调用(如同时调用多个功能重复的工具导致开销增加)或是工具使用低效(如选用通用API而非专用API造成查询速度缓慢或结果精度不足)。
随着技术的迭代演进,工具匹配技术已形成“规则驱动-语义检索-智能生成”的清晰发展脉络,而复杂任务场景下的工具调度,也从静态分层规划逐步转向强化学习驱动的动态优化。
早期工具选择多采用规则映射方法:通过为每个工具预设关键词或正则表达式,依据用户指令中的触发词直接映射至对应工具接口。此类方法在高确定性场景中可靠性强,但泛化能力有限。为突破该瓶颈,研究者们引入了向量语义检索技术,该技术通过将用户请求与工具描述分别编码为向量,在向量空间中计算相似度以实现工具匹配,这标志着工具匹配进入语义理解阶段。
在对比学习框架下,用户指令和工具描述被编码至共享向量空间,通过余弦相似度计算筛选候选工具。KONG等[24]提出的TPTU-v2采用Sentence-BERT模型,通过多负样本排名损失进行训练API检索器,在开放域任务中展现出强大泛化能力。GAO等[25]进一步提出的SimCSE通过无监督对比学习优化语义表征,在低资源场景下表现出色,然而这类方法严重依赖标注数据质量,长尾工具因样本不足易被忽略,且语义相似度与功能匹配度存在偏差。
大模型通过指令微调实现工具调用代码的直接生成,彻底突破了传统规则与检索方法的局限。以APIBench[26]为代表的两阶段框架,首先通过BM25算法快速召回候选工具,然后借助GPT-3.5生成调用指令,既继承了规则系统的高效性,又融入了大模型的强泛化能力。
针对多步骤、多工具协同的复杂任务,大模型可通过推理提供结构化的层次化任务规划方案。WEI等[27]引入思维链概念,将“让我们一步一步地思考”的指令融入提示结构,引导模型在逐步推理中完成工具调用。DeepMind的Sparrow模型[28]采用强化学习策略优化工具的使用路径,在调用核心工具前通过预览工具以过滤无效请求,使整体工具调用效率提升37%。
2.2.4 工具执行
完成工具选择后,模型需进行工具执行——实际调用选定的外部工具,以获取任务结果或执行具体操作。工具执行通常对输入格式、参数类型有明确要求,但用户指令多为自然语言表述,因此核心挑战在于实现从自然语言到工具接口参数的精确映射。
为实现从自然语言到结构化参数的精确映射,研究者们提出了多种方法。ZHANG等[29]提出的Reverse chain基于逆向推理的通用规则,将复杂的多API调用任务拆解为简单的API选择与参数填充子任务。AutoPrompt[30]以及Prompt programming[31]利用提示工程的方法自动构造专用提示模板,为大模型提供明确的语义指导,引导其生成符合API要求的结构化参数。
由于不同工具的调用格式存在显著差异,大模型需具备跨API的泛化调用能力,通过将API文档编码为模式约束引导模型生成符合规范的调用代码。CHEN等[32]提出的Codex在代码生成过程中能自动适配目标工具的调用格式,确保输出结果符合对应编程语言的语法规则。
同时,基于语法树的解码器技术可以有效约束大模型生成结果的语法结构,YAO等[33]提出的ReAct框架引入API Schema Attention机制,通过强化对API结构的关注,将调用格式错误率控制在较低水平。完成工具调用后,大模型会接收工具返回的结果,经整合处理后向用户输出最终响应。
工具与大模型的互补优化
随着大模型在各类复杂任务中的应用不断深化,模型自身的参数化能力与外部工具的功能性能力之间逐渐形成一种“互补优化”的关系。
一方面,外部工具通过提供最新知识、专业算力、可执行环境和可观测中间结果,显著弥补了基础大模型在事实正确性、专业能力和行动能力等方面的局限;
另一方面,基础大模型也通过自身的自然语言理解、复杂推理和决策规划能力,对传统工具和应用系统进行反向赋能,使其从“规则驱动”向“认知驱动”演化,催生出大模型驱动的自主智能体和智能应用生态。
两者相互促进、协同演化,为构建高效、可靠且具有适应性的智能系统提供了重要基础。
3.1 工具对基础大模型的增强
工具对基础大模型的增强本质上是一种“由外向内”的能力扩展方式,即工具为大模型提供其参数化知识和内在能力无法独立实现的补充。在这一范式下,大模型始终是任务执行的最终决策主体,它负责理解用户意图、规划任务步骤、选择工具调用顺序并最终对工具返回的信息进行解释、筛选和整合。
工具作为外部能力模块,虽然能够显著提升大模型的知识广度、专业深度和执行效率,但其角色是辅助性的,其输出是否被采信、如何进入推理链条以及最终生成何种结果都由大模型统一裁定。因此,“大模型使用工具”的核心逻辑并不在于工具能够执行任务,而在于大模型在整个流程中具有主导权。
3.1.1 知识扩充
大模型在训练阶段虽已吸纳海量数据中的知识,但这些知识本质上具有静态属性,且受限于训练数据的时间范围,无法自动更新以覆盖最新动态信息。因此,当面对需要实时资讯、训练数据中未涵盖的专业知识或最新政策变化等场景时,模型常因知识滞后或盲区而难以给出准确回答。
外部工具的接入为大模型提供了灵活的知识扩充路径,这些工具能够实时连接到互联网或其他数据源,帮助模型获取最新的动态信息。通过这种方式,大模型不仅可以及时更新知识库,还能根据最新的信息生成更准确、更具时效性的回答。例如在生成回答时,大模型可以通过搜索本地或云端的知识库,提取训练数据中未涵盖的内容,从而提升知识覆盖度[34-37]。
除了检索固定的本地外部文档以外,也可借助搜索引擎,以整个互联网为知识源,实时获取最新新闻、研究进展等动态信息,确保回答的时效性与准确性[38-40]。此外,结构化数据库能为大模型提供高质量的事实性信息,帮助模型在数据分析、财务报表解读等任务中提供精确答案[41-44]。
3.1.2 专业能力提升
大模型的训练数据以通识知识为主,普遍缺乏特定专业领域的深度知识与专项技能,而诸多专业领域任务的解决,往往需要超出通用大模型能力范畴的专门知识支撑或精准技能应用。例如,复杂的数学计算[45]、金融计算分析等任务通常涉及高精度数据处理或是对特定领域知识的深度理解,这些均是依赖通识训练数据的大模型难以覆盖的能力盲区。
通过调用专用工具,可有效弥补大模型的专业能力短板。例如:在金融领域分析中,模型可以通过调用金融计算统计分析工具或金融文档来获取更精准的分析结果[46-47];在电力领域,基于动态领域图谱与模型协同的术语识别方法能有效解决电力行业在数字化转型过程中面临的术语识别挑战[48];在数学领域,模型可以调用专业的数学工具来处理复杂的公式和算法[49-51]。另外,通过调用外部数据库操作和优化工具,大模型可以实现数据库管理、维护和诊断[52],而与外部编程工具的结合,则可借助代码执行验证并修正模型输出答案。
通过与这些专用工具的结合,大模型不仅能够完成原本超出其能力范围的任务,还能提供更准确、更专业的结果。这种协同工作模式不仅提升了大模型的实用性,还使其能够更好地适应多样化的应用场景,满足用户在不同专业领域的需求。
3.1.3 自动化效率提高
尽管大模型具备强大的语言理解与生成能力,但在执行数据检索、文本翻译、代码编写等特定任务时,其处理效率与准确性仍存在局限。相比之下,专用工具在这类细分任务中往往具备更高的执行效率与精度。因此,大模型与外部工具的融合不仅能弥补其在特定任务上的性能短板,更能显著提升整体任务处理的自动化水平。
QIN等[53]提出的WebCPM是首个基于交互式网页搜索的中文问答开源框架,为大模型与工具结合提升自动化效率提供了典型范例。NAKANO等[54]提出的WebGPT基于GPT-3模拟人类网页浏览行为,通过检索信息完成长文本问答任务,大幅提升了复杂问答的自动化处理能力。
SHEN等[19]提出的HuggingGPT以大模型为核心控制器管理Hugging Face社区中的各类小模型工具,将用户自然语言请求作为通用接口,经模型解析规划后匹配适配工具,完成任务执行与结果整合反馈。YANG等[55]提出的AutoGPT以GPT-4为核心,无需强制人类介入,可自动拆解目标,通过调用互联网、数据库管理工具、搜索引擎等模块,在自动循环中完成任务,展现出更强的通用智能与自动化能力。
3.1.4 可解释性增强
大模型的“黑箱”特性使其推理过程难以被直接追溯与理解,这在一定程度上降低了用户对模型输出结果的信任度[56]。这一问题在实际应用中尤为突出,尤其是当大模型生成的结果影响医疗诊断[57]、法律分析[58]等高风险决策时,推理过程的不透明性会严重制约其实际落地,而工具学习为提升大模型可解释性提供了有效路径:通过显式展示外部工具的调用流程与推理链路,能够清晰呈现决策的每一个关键步骤,让原本隐蔽的推理过程变得透明化[59]。
在实际应用中,这种透明性可通过多种方式强化,包括可视化推理链、输出中间状态以及留存工具调用日志等。例如:在数学推理任务中,采用思维链推理[27]可引导模型先输出完整思考过程而非直接给出最终答案;结合计算工具,则可以进一步提高准确性并增强用户对推理过程的理解[60]。即便模型输出错误,这种可解释性也能助力快速定位问题根源,明确错误是源于模型自身的逻辑推理偏差,还是外部工具调用环节的执行失败。
3.2 基础大模型对工具的赋能
基础大模型对工具的赋能主要体现为大模型作为能力组件被嵌入到既有工具或系统中,增强其语言理解、语义匹配、生成表达与推理建模等智能能力,但整个任务的规划、执行与最终结果采纳均由工具自身的流程引擎或外部系统的业务机制负责。在这一模式下,大模型并不承担系统的决策主体角色,其输出常作为候选信息或中间建议进入系统,而系统根据规则、约束、上下文和目标函数对模型输出进行选择、过滤和整合,这一主体性结构在当前大模型工具学习领域的许多典型应用中表现得尤为明显。
在搜索和信息检索系统中,大模型被广泛用于查询理解、意图识别、语义扩展以及结果摘要等任务,但最终展示哪些搜索结果、如何排序、是否采纳大模型的重排建议仍由搜索引擎内部的排序模型、质量控制策略与安全机制决定。LLM4Rerank[61]框架中,大模型负责生成语义增强信息,但最终排序仍依赖工具系统内部的决策模块。
在流程自动化系统与企业级工作流平台中,大模型被用于自然语言任务解析、流程模板生成、决策建议或异常解释等任务。在WorkflowLLM[62]、AutoFlow[63]等框架中,大模型可以基于自然语言描述生成候选任务图或提出优化路径,但最终可执行性验证、冲突检测以及策略选择均由工作流系统决定。尽管大模型赋予工具以更高的语义能力和任务理解能力,但真正掌控流程的仍然是工具本身。
在多智能体系统与协同任务平台中,大模型通常被封装为局部推理器、规划模块或通信代理,而系统中的调度器、协调器或环境引擎负责全局规划与执行控制。AutoGen[64]、AgentScope[65]等一系列多智能体框架均说明智能体的整体策略和行为模式由平台协调,而非由任何单个大模型在本体上决定。大模型可以增强系统中的推理链条或沟通表达,但系统仍是最终的决策者与责任承担者。
工具学习机制
通过调用外部工具,大模型能够显著增强复杂任务解决能力,实现与外部环境的有效交互,但如何高效引导大模型精准使用工具,仍是当前研究面临的核心挑战。综合现有研究可以发现,大模型的工具学习机制逐渐演化为“上下文学习-微调学习”两条相互关联的发展主线:
一是基于上下文学习的轻量级机制,通过提示工程、工具文档与示例设计,模型在推理阶段可即时获得工具使用能力;
二是基于有监督微调或自监督学习的参数化机制,通过系统训练将工具选择、参数生成与调用顺序嵌入模型的内部表示空间,从而使模型获得更高的一致性与可靠性。
本章将对这两种工具学习机制进行分析,并对其设计动机、解决的问题、适用场景进行总结,如表1所示。
表1 工具学习机制方法对比
4.1 基于上下文学习的工具使用
上下文学习由OpenAI在GPT-3中首次提出,其核心思想是不修改模型参数,通过精心设计的提示词、工具描述和少量示例,使模型在推理阶段动态获得理解工具语义、选择工具类型并生成调用格式的能力。这类方法有着低接入成本和部署门槛的优势:面对数量庞大且快速演化的API生态,依赖昂贵的再训练和人工标注往往难以满足系统扩展需求,而上下文学习能够通过“文档即知识”的方式实现即插即用的工具接入。
4.1.1 零样本学习
零样本学习指无需额外训练数据,大模型仅依托任务描述与工具API相关信息,利用自身知识储备与推理能力,完成工具选择、调用及任务解决。这种方式集中体现了大模型的强泛化能力,使其在缺乏具体示例的情况下仍能高效完成工具调用。
在工具选择领域,研究者尝试让模型“像阅读手册一样”从工具文档中推断调用方式。为了让模型在没有任何示例的情况下,通过工具规范描述完成功能对齐与调用格式生成的问题,Tool documentation[66]和GeneGPT[67]等工作将大量API描述转化为自然语言文档并纳入语义检索体系,使得模型能够凭借文档理解能力实现跨工具选择与参数推理。
TaskMatrix.AI[68]进一步将视觉、语音等模态的系统工具统一为一致的格式,减少了工具之间的结构差异对模型理解产生的干扰,提升跨模态工具接入能力。这些方法在工具类型多、更新频繁、标注成本极高但API文档相对规范的开放平台中十分适用,只要工具文档表达充分,大模型即可在零样本条件下完成“从文档理解到调用执行”的端到端映射。
然而,这些方法在格式学习上仍存在显著不足,模型往往能理解工具含义,却难以生成严格符合工具调用schema的结构化格式。例如,函数调用JSON中字段漏填、类型错误、括号和引号不匹配等问题始终高频出现。
格式学习是工具学习中最基础但最关键的能力之一,其本质上是一种“结构化输出能力”,要求大模型在工具调用过程中学习理解并生成正确的工具调用格式(例如JSON、函数调用结构、API参数模板)的能力。在格式学习领域,零样本方法聚焦于自然语言到标准调用格式的直接转换。
GPT-4[69]在未给示例的情况下能直接依据函数定义输出符合OpenAI Function Calling规范的JSON调用格式。在数据库方向,SHORTEN等[70]将自然语言指令转换为数据库查询函数调用的schema,验证了模型利用文档完成结构化生成的潜力。
PAL[71]通过程序化提示让模型借助代码语法保持结构稳定性,从而避免格式错漏问题。为了进一步提高格式生成的鲁棒性,Hammer[72]引入函数masking技术,避免模型在面对相似工具时出现结构性混淆。
在API语法明确、模式相对规范的场景中,零样本工具学习可以显著降低系统集成成本,并在一定程度上保持良好的可泛化性。然而,零样本方法在涉及长链规划、多工具协作时往往出现错误工具选择、调用冗余以及参数不完整等问题,尤其在真实复杂任务下成功率仍然有限。这表明仅依赖工具描述和函数签名难以全面覆盖复杂场景下的隐含约束,也难以及时修正推理中积累的错误。
4.1.2 少样本学习
尽管大模型在零样本场景下已具备一定的工具调用能力,但面对复杂任务时,其准确性与可靠性仍有提升空间。少样本学习通过在上下文信息中嵌入少量高质量工具使用示例,为模型提供更具体的学习参照,引导其掌握工具调用逻辑。相较于零样本学习,少样本学习补充了更丰富的上下文信息,利用极少的标注示例,显式展示“好的调用范式”,从而在不改动参数的前提下提升调用准确性与稳定性,能够显著提升工具调用准确率、参数推断质量与输出可控性,同时有效减少幻觉现象与错误调用的发生。
在少样本学习中,高质量工具调用示例的设计是提升效果的关键。WEI等[27]提出的CoT(Chain-of-Thought)展示了模型应如何在推理过程中插入工具调用,从而让复杂任务更具可分解性,然而CoT对工具的调用依赖关系建模有限,难以覆盖对话式任务或多工具协作任务。随后,研究者根据不同任务结构进一步细化示例设计。
ChatCoT[73]将推理链扩展到多轮对话情境,显著提升了对话式任务中的调用准确性。PoT[74]创新地引入可执行代码,使模型能够利用代码环境辅助工具行为,从而在数学推理等任务中提升可解释性与精确性。MultiTool-CoT[75]在此基础上加入多工具协作示例,展示工具之间的依赖传递,从而提升多工具链路的规划能力。这些方法沿着“示例承载知识”的思路演化,示例越完整,模型越能在推理过程中对齐行为模式。
但与此同时,少样本方法非常依赖高质量示例,示例构造本身成本极高,且示例多样性难以覆盖不断扩展的工具生态。ToolSandbox[76]的系统评测发现:模型在长对话中具有“逐步偏离示例”的倾向,导致调用退化或重复调用不必要的工具。为缓解该问题,TL-Training[77]通过任务元特征自动检索最相关示例,使少样本提示与任务结构更匹配,从而提升复杂任务的稳定性和泛化能力。为进一步提升示例分布质量,FunReason[78]通过自动修正模型生成的错误示例,持续提高示例库的有效性,对提升推理链条正确性具有显著作用。
4.2 基于微调的工具使用
当少样本示例与目标任务在结构上高度匹配时,少样本方法在工具选择、参数推断以及中间规划可解释性方面具有明显优势,但这种方式的表现高度依赖输入的上下文质量,且受限于提示词长度与示例有效性,导致模型泛化能力受限。
尤其在复杂任务或多样化工具调用场景中,上下文学习的效果稳定性不足:一方面,示例数据覆盖不充分会导致模型在长尾工具或罕见组合上的表现仍旧不稳定;另一方面,随着工具数量和任务类型的持续增加,为每个场景设计兼具代表性和多样性的示例变得愈加困难,同时在长对话场景中,少样本示例很难持续约束模型的行为,模型容易在对话后期偏离示例展示的最佳调用模式。
与上下文学习相比,微调的工具学习机制试图将工具使用行为“写入”模型参数:通过微调等方式,显式或隐式地将工具选择、参数生成、调用顺序等模式固化到模型内部。参数化学习可以提升行为的一致性、鲁棒性和执行效率,更适合在同构任务与稳定工具集下进行大规模部署。
基于数据驱动的有监督微调方法的核心是通过大量标注数据开展有监督微调,让模型学习人类工具使用逻辑,从而掌握特定工具的调用方式。NAKANO等[54]提出的WebGPT基于海量人类搜索引擎,使用行为数据进行有监督微调,使大模型熟练掌握搜索引擎的调用方法。API-Bank[79]进一步提出构建包含大量函数调用示例的数据集,让模型系统性学习工具选择与参数填充。但是,这类方法数据标注成本高,且标注数据的多样性难以保障,限制了模型的适配范围。
为降低对人工标注数据的依赖、实现“触类旁通”的工具学习,研究者们提出了基于自监督学习与数据生成的微调方案,通过少量人工撰写的工具描述或示例,引导模型自动生成高质量工具调用数据。WANG等[80]提出的ToolFlow能够以较低成本生成大规模、多轮对话式的交互语料,从而提升模型在实际对话场景中的稳健性,然而该方法生成的数据在复杂推理链和多工具依赖关系方面覆盖有限,难以满足高复杂度任务的需求。
相比之下,TALM[23]通过迭代自我对弈技术,通过对模型自身生成的调用进行筛选和再改写,使数据质量与任务难度逐步提升,不仅增强了训练数据的多样性,也强化了模型对长链任务和复杂调用模式的掌握能力。
在自动化程度方面:Toolformer[12]借助自监督损失机制实现了“何时调用工具”的自动判断,使数据构建过程摆脱人工过滤器的依赖;ToolAlpaca[81]通过自动化生成多样化工具使用语料库,为模型微调提供丰富数据支撑,助力模型形成泛化性工具使用能力。这些方法在保证数据多样性和规模的同时,打通了“工具文档-调用示例-模型微调”之间的闭环,使得工具学习可以随着工具生态的变化持续演化。
工具学习优化
5.1 准确率提升
在大模型具备基础工具使用能力后,其在真实任务中的可靠性经常受到一系列非结构性或累积性误差的制约,如误选工具、参数填充不完整、调用格式不合规、工具返回结果未被正确利用或多轮推理过程中的策略偏移。这些问题不仅影响单次调用成功率,也在长链推理场景中呈现“误差扩散”特征,导致性能随推理深度显著下降。因此,近年来工具学习研究逐渐从“能力赋予”转向“能力优化”。
本节围绕迭代反馈优化、结构化调用生成与嵌入式调用优化、工具文档结构化重写、工具选择与参数匹配总结了多种典型优化方案,并将相关的性能改善整理在表2中,以便对不同方法的优化侧重点及效果形成整体认识。
表2 工具学习优化性能改善
5.1.1 迭代反馈优化
迭代反馈优化方法的核心思想是在“观察-推理-调用-反馈”循环中不断修正调用路径,试图解决传统静态调用模式中“错误不可逆”和“局部偏差沿推理链传播”的核心难题。在早期模型中,工具调用往往采取“一次生成、直接执行”的方式,导致模型无法根据工具的返回结果进行动态纠偏,由此促使研究者将推理过程重新建模为“行动-观察-再行动”的循环式决策模式。
典型的显式推理轨迹方法通过在推理链条中交替生成推理路径与行动指令(如ReAct[33]),使工具调用过程变得可观察与可修正。反思式推理技术Reflexion[82]的引入使模型能够对自身生成的推理路径进行元层级检验。RestGPT[83]将这一机制推广到RESTful API场景,能够在状态跳变、执行失败与输入不完整条件下重新规划调用路径,从而提高复杂接口环境中的稳定性。
为了应对多模态复杂任务,AssistGPT[84]在多工具视觉任务中采用交错式语言与代码推理系统提升任务完成率。随着任务复杂度提升,简单的循环式纠错已难以满足需求,多阶段优化框架开始出现。Confucius[85]通过多阶段学习与自我反馈进一步提升复杂工具链的稳定性。与此同时,CRITIC[86]通过外部反馈驱动在缺乏标签的情况下提高调用策略的可靠性。ProgCo[87]进一步利用可执行程序验证推理链路中的中间步骤,使模型能够在程序级别检测结构性错误。
针对动态环境中长期策略优化难的问题,一些研究者使用强化学习奖励策略。QIAO等[88]提出的两阶段端到端框架能够在动态环境中通过长期奖励提升工具选择精度。S2R[89]将自验证与自纠错明确建模为可训练策略,通过过程奖励与结果奖励的结合,使模型在长链推理中具备更强的在线修复能力。
5.1.2 结构化调用生成与嵌入式调用优化
在工具调用中,语言生成与工具接口所要求的结构化格式(如JSON、函数调用、SQL schema)之间存在不匹配问题。结构化生成机制试图从源头解决这一冲突,通过内部表示空间或解码规则将工具调用转化为形式化的结构生成问题,从而减少格式错误与参数错配。代码上下文式方法(如CodeTool[90])通过将工具调用嵌入代码语境,使调用逻辑自然融入可执行程序语义中,其优点在于结构约束自然、可解释性强,但限制在于必须依赖明确的程序环境,对于非代码型工具schema的迁移性较弱。
为进一步缓解“自然语言生成-结构化格式”之间的脱节问题,嵌入式表达方法通过将工具调用结构直接融入词表或内部表征,使模型将工具调用视作“语言空间中的自然表达”。典型方法包括ToolkenGPT[91]和ToolCoder[92],它们将工具封装为专属token标记,让工具调用与自然语言生成过程无缝融合,使模型生成工具调用指令时,如同生成普通单词token般自然流畅,但面对工具规模持续扩张时,需要维护大量结构化token。
为了在结构化稳定性与可扩展性之间取得平衡,DANG等[93]进一步引入“结构模板驱动”的解码过程。此类方法通过对工具schema进行抽象,将其转化为具备约束能力的生成模板,使模型在解码过程中能够动态过滤无效token,从而有效避免括号、字段或类型不匹配等结构性错误,但灵活性受限,对于接口变化快或结构较为松散的工具不够适应。
随着工具生态规模扩大,结构化约束逐渐从“模板级约束”扩展到“协议级抽象”。基于模型上下文协议(MCP)[94]的结构化解码方法通过将工具接口规范化为统一字段与流程,使模型能够在不同系统工具间保持一致的调用结构,从而提升可迁移性与安全性,其优点是跨系统一致性强,但对真实环境中大量非标准工具接口支持不足。此外,为提升结构化输出的模型无关性,SLOT[95]将自由生成的模型输出映射到JSON等严格结构格式中,从而在无需修改模型架构的条件下提升结构正确性。
5.1.3 工具文档优化
工具调用失败的重要原因之一是工具文档本身的质量问题。真实系统中的API文档往往存在格式不统一、字段冗余、内容不一致或语义模糊等问题,导致模型难以从文档中准确提取工具语义和参数约束。文档优化方法的核心思想是以“面向模型表达”的方式对文档进行重写,使其表达结构更加符合模型的语言理解习惯。
为解决工具文档的多样性与复杂性难题,通过优化文档呈现形式、提升信息匹配度,助力模型高效理解工具。YUAN等[22]提出的EASYTOOL将冗长且格式各异的工具文档转换为统一简洁的工具说明,为大模型提供清晰直观的功能视图,既显著提高了工具在实际场景中的利用率,又减少了因文档理解偏差导致的调用错误。
HUANG等[96]借助大模型的通用世界知识与推理能力优化工具描述,使其更贴合用户实际使用场景,通过编辑工具描述缩小用户查询与工具功能之间的语义差距,进而提升工具检索与使用的整体效果。
5.1.4 工具选择与参数匹配优化
工具选择与参数匹配是工具调用链条的核心环节,其准确率直接决定调用成功与否。传统语言生成方式往往将工具选择作为隐式语义匹配问题,缺乏明确的决策边界与可解释性。为此,近期研究开始从决策结构化视角改进工具选择逻辑,通过引入结构约束、图谱表达或分层策略模型,使工具选择与参数生成从“隐式预测”转变为“显式决策过程”。
ControlLLM[97]通过引入结构化信息构建工具图谱,将工具之间的依赖关系及功能联动结构显式建模,从而提升跨工具链任务的稳定性与可解释性。ToolDec[98]从语法角度出发,把工具文档自动转换为有限状态机,将语法约束直接嵌入解码过程中,显著提升结构规范性和参数一致性。
然而,这类强结构约束方式在应对可变参数、多样化工具接口时往往显得过于僵硬。为克服“结构过强”与“语义过弱”之间的矛盾,GEAR[99]进一步将工具选择建模为“双重相似度匹配”问题,通过计算双重相似度分数评估工具适配性,解决了仅依赖语义相似度容易“选对语义,选错工具类型”的问题。
5.2 自适应工具生成
当前大模型虽能借助已有的外部工具解决复杂问题,但在面对特定场景或个性化任务时,常存在缺乏适配工具的困境。对此,研究者们提出自适应工具生成方案,让大模型能够针对特定任务自主创建所需工具,突破现有工具生态的局限,QIAN等[100]提出的CREATOR首次明确了“大模型作为工具创造者”的核心思路。
一是让模型直接生成可执行的函数、脚本或程序,再将生成的代码抽象为可重复调用的工具。CREATOR与CRAFT[101]通过任务示例生成代码,再将具体的代码片段抽象成带参数的通用函数,使模型能够不断扩展自己的“工具库”。这种方式的优势在于可以快速覆盖长尾问题,但需要可靠的执行环境保证生成工具的安全性与可验证性。
二是从系统角度构建“任务驱动的工具扩展机制”,通过强模型生成工具、弱模型调用工具的策略,实现低成本系统的可扩展性。CAI等[102]提出的LATM依托ChatGPT-4等强能力大模型作为“工具制造者”,为特定任务定制工具后,将工具传递给低成本轻量级模型,使其能够高效解决相似问题。这种模式让轻量级模型在保持高成本效益的同时实现了与强能力模型相当的性能表现。WANG等[103]提出的TroVE提供了生成可重用函数工具箱的专用方法,适用于编程任务场景,其生成的解决方案相比现有方法更简洁、精准。
工具学习评估
随着大模型在工具学习中的能力不断提升,构建科学、系统且具有可扩展性的评估体系已成为推动该领域研究的重要基础。评估体系不仅用于检验模型能否正确选择并调用工具,而且用于衡量模型在真实任务环境中的执行效果、工具链条中的鲁棒性以及模型与工具生态之间的协同质量。当前评估研究逐渐从“单一调用结果”转向“多维度行为分析”,从而反映模型在工具使用过程中的理解能力、决策能力与任务完成质量。
6.1 意图理解能力
意图理解是工具调用流程的起点,其核心在于模型能否准确判断用户指令是否需要借助外部工具,并识别最匹配的工具类别。若意图识别失败,无论后续工具选择再准确,也无法顺利完成任务,因此意图识别能力常被视为工具学习的“入口能力”。
在这一方向上,ToolBench[104]通过构建混淆样本评估模型区分“工具需求”与“语言模型即可回答”的能力,并关注模型在多任务场景中对任务类型的细粒度判断。MetaTool Benchmark[105]进一步强调“工具意识”,考察模型在面对任务时是否主动寻求工具辅助,从而区分“知道工具存在”与“会主动使用工具”之间的差异。
在此基础上,ToolEyes[106]进一步将意图理解纳入其细粒度评估维度,将“是否需要工具”、“需要哪类工具”与“如何在多轮交互中澄清意图”统一到真实任务场景中进行观测,使意图理解不再停留在单轮、静态的判断上,而是与行为规划、工具选择等后续阶段协同考察。
随着多跳工具使用场景的出现,意图理解评估也开始关注模型是否能够在问题层面意识到需要多步、多工具协同才能完成任务,如ToolHop[107]通过构造覆盖多跳依赖的查询数据集,显式刻画模型在面对复杂查询时对“是否需要跨工具、多阶段推理”的整体判断能力,从而将意图理解拓展到多跳工具使用的视角。
6.2 工具选择与参数生成
在正确识别工具需求之后,模型还需要在规模庞大的工具集合中选出合适的工具,并为其生成结构正确、语义合理的参数,这一阶段的能力直接决定工具调用是否成功。针对工具选择准确率的评估。
Gorilla[108]通过构造相关性与不相关性样本,评估模型在功能相似工具间做出正确选择的能力,从而避免“语义看似合理但工具类型错误”的常见失败模式。在参数生成方面,API-Bank[79]等基准通过与标准参数的逐字段比对评估模型是否遵守字段类型、内容约束及格式规范,从而识别参数缺失、字段错误或内容偏差等问题。
ToolEyes[106]在此基础上将工具选择与参数生成纳入5个关键维度,强调不仅要评估模型是否选对工具,还要分析其在复杂真实场景中是否能够规划合理的工具使用顺序,并在参数层面与工具文档保持一致,随着评估需求从单步调用走向跨工具链路,工具选择评估逐渐扩展到更高维度的结构化行为分析。MTU-Bench[109]对模型在单工具、多工具、单轮、多轮以及分布外工具场景中的表现进行分层测试,系统刻画模型在不同复杂度任务中的工具选择稳定性。
随着工具生态逐渐协议化,部分评估框架也开始将工具选择与参数生成放置在统一协议语境下考察,例如MCP-RADAR[110]在MCP统一接口下,通过答案准确率、参数构造准确性与选择效率等多维度指标综合衡量模型在标准化工具生态中的选择行为,从而更贴近实际部署环境对工具使用行为的要求。
6.3 问题解答准确率与任务完成能力
尽管过程级指标能够帮助分析工具使用的具体环节,但工具学习的最终目标仍是提升大模型在下游任务上的整体表现。因此,不少工作从“问题解答准确率”或“任务完成率”的视角构建评估基准,将工具学习能力与实际任务效果直接联系起来。
ToolQA[111]通过构造需要依赖外部工具才能正确回答的问题集,刻意减少与语言模型预训练语料的重叠,使评估更聚焦于模型在工具辅助下的推理和信息获取能力,而非记忆式回答。
ToolEval[104]通过“通过率”和“胜率”两个指标衡量模型在限定工具调用预算和对比条件下完成任务的能力,并通过与人工标注的一致性分析验证评估结果的可靠性,从而在保证评估效率的同时维持较高的判别质量。
T-Eval[112]进一步将工具利用过程分解为多个子任务,能够对大模型在工具利用各方面的表现进行细粒度的评估。
挑战和未来发展方向
大模型工具学习当前仍面临核心瓶颈:工具调用的准确性与可靠性不足,复杂场景下易出现意图误判与参数偏差;跨模态工具协同与生态标准化程度较低,工具的适配性与整合效率受到制约;可解释性、轻量化部署及人机协同适配性仍待提升,影响了规模化实用化落地。针对这些挑战,未来发展将聚焦三大核心方向,形成“能力升级-生态完善-场景落地”的闭环演进。
在自主进化与工具协同生态方面,未来的大模型将突破当前“被动调用工具”的模式,迈向“主动生成工具-动态优化工具-生态化管理工具”的新阶段。在技术路径上,Toolformer[12]通过自监督方式自动学习工具使用策略,为“模型自主学习工具使用”奠定了基础;
更进一步,Self-Discover[113]、OpenAI o1[114]系列在复杂任务中已展现出模型自主生成任务特化推理策略的雏形;LLM-Planner[115]展示模型可根据任务反馈不断迭代工作流与工具逻辑,从而形成“模型创造工具、工具反哺模型”的协同进化生态;
配合API-Bank[79]等提出的工具标准化方案可进一步支持统一的工具描述语言及工具检索系统的构建,推动工具生态向着“自增长、自组织、自管理”方向演化,降低在新场景下的工具适配成本。
在可信高效的跨模态工具融合体系方面,未来的大模型将实现文本、图像、音频、视频等多模态工具的统一调用与深度协同,从而支撑高复杂度、多链路的跨模态任务处理。
以HuggingGPT[19]为代表的协同框架已经验证了由大模型调度多模态模型群完成复杂任务的可行性;ViperGPT[60]通过将视觉推理任务映射为可执行代码的方式,使跨模态推理链更加结构化,便于工具参与;SeeAct[116]进一步将多模态信息融合进“思考-行动-观察”循环,实现了语义-感知-工具操作的流畅衔接。在可信性构建方面,Visual programming[117]、Chain-of-Visual-Thought[118]提供了由多模态证据组成的推理链,从而提升用户对模型行为的可解释性;LLM-Check[119]机制可以在复杂工具链路中加入权限管理、风险扫描、隐私过滤与异常行为预警,防范跨模态工具调用中的隐私泄露与恶意攻击。
未来的多模态工具融合体系将围绕“协同效率、透明度与安全性”的统一,构建真正可信、可控、可审计的跨模态工具闭环。
在人机协同实用化落地与模型轻量化方面,随着大模型向边缘设备、行业终端与低资源环境下延伸,轻量化工具学习技术将成为关键驱动力。在人机协同方面,AutoGen[64]模型展示了通过引入人类反馈、偏好或审核机制,使工具调用链具备可控性和鲁棒性,支持医疗、教育、工业生产等高风险行业的安全落地。
在模型轻量化上,LLaMA-Adapter、LoRA、QLoRA等低开销参数微调技术使得在有限算力环境中实现工具学习功能成为可能;MobileLLM[120]证明了工具调用在移动端的可实施路径;Octopus-LLM[121]等支持跨设备协同的框架正在探索“轻量代理+云端工具”的混合结构,以实现性能与资源消耗的平衡。未来,工具学习技术将在轻量化部署、实时交互与行业适配等方向持续发展,使其能够从实验室环境走向更广泛的真实生产场景。
结束语
大模型工具学习作为人工智能领域的一个新兴研究方向,近年来取得了显著进展。通过与外部工具的结合,大模型不仅能够突破自身参数规模和训练数据的限制,还能在复杂任务、专业领域问题以及需要最新知识的任务中表现出色,极大地扩展了其应用范围和能力边界。本文综述了大模型工具学习的定义、使用范式、工具和大模型互补优化、工具学习机制、工具学习优化方法,总结了现有的大模型工具学习评估方法,并深入分析了当前面临的挑战和未来发展方向。
在工具学习的使用范式中,意图理解、工具认知、工具决策和工具执行是4个核心环节。大模型通过这些环节能够准确识别用户需求,选择合适的工具,并以高准确性和强鲁棒性完成任务。工具学习增强了大模型的知识扩充、专业能力提升、自动化效率提高和可解释性,推动了人工智能应用的快速进步。
然而,大模型工具学习仍面临诸多挑战,这些问题不仅影响大模型工具学习的性能和效果,也制约了其在实际应用中的广泛推广。未来,随着大模型技术的不断发展和工具生态的日益丰富,工具学习有望在更多领域实现突破。研究人员需要进一步探索更加高效、准确的工具调用方法,提升大模型的泛化能力和可解释性,构建更加完善和智能的工具生态系统,并开发更加全面、系统的评估体系。通过这些努力,大模型工具学习有望在人工智能领域发挥更大的作用,为解决复杂的现实世界问题提供更强大的支持。
来源:新机器视觉
图片


申明:感谢原创作者的辛勤付出。本号转载的文章均会在文中注明,若遇到版权问题请联系我们处理。


图片

----与智者为伍 为创新赋能----


【说明】欢迎企业和个人洽谈合作,投稿发文。欢迎联系我们
诚招运营合伙人 ,对新媒体感兴趣,对光电产业和行业感兴趣。非常有意者通过以下方式联我们!条件待遇面谈
图片
图片
投稿丨合作丨咨询

联系邮箱:uestcwxd@126.com

QQ:493826566



图片


评论
  •        面包板社区选品绝对优品!首先感谢面包板及工作人员在这之前策划了很多可以赚取E币的活动(发技术帖、分享项目经验、回答问题、参会、11-12月每天坚持签到领E币),每一个都几乎与了,所以获利不少,这次活动力度之大更是前所未有,买东西返现!!!再次感谢,比心!!!来看看我买了哪些好宝贝:                     
    甜椒的尾巴 2025-12-31 09:37 2572浏览
  • 文:候煜、陈昊编辑:cc孙聪颖多年前,中国入世谈判首席代表龙永图在接受《华尔街科技眼》创始人采访时曾抛出一个鲜明观点:家电行业是国内“最皮实”的行业。在入世初期各领域普遍需要政策保护,唯独家电行业未受特殊庇护,却走出了相对稳健的发展路径。无论是全球市场知名度,还是行业整体营收规模,家电行业长期保持着稳固态势。而且,相较于始终站在风口、聚焦聚光灯下的互联网行业,家电行业始终略显低调。“稳”意味着行业变数少,也意味着从业者可以有一定的路径依赖。曝光度低意味着相对较少的关注和解读,于职业经理人而言,反
    华尔街科技眼 2025-12-30 12:56 2308浏览
  •         本月17日南京地区发生了一次导航严重偏离的事件,一时互联网、金融、军迷等人群议论纷纷。19号,“南京卫星协会”微信公众号给出了一篇分析文章,官媒和社媒纷纷转载,视为结案。但是不知道为什么,今天我去找了一下,没找到这篇文章。                        根据公开资料,我把北斗、GPS和G
    电子知识打边炉 2025-12-28 22:55 991浏览
  •   今天,做清理,想把闲置有点毛病了的一个老收录机看看还能不能用?  拿起电源线,呵呵,这线早就变硬了,拿到插头,准备插到电源插座上,哈哈,不声不响,插头断掉啦!  拿到了工作台,准备行动,拆解、检查、判断可否修复?  这可是一台够老的机器啦!1985年7月3日买的一台三洋牌手提式立体声收录机,那时是很时兴时髦的产品,发票和说明书都在。  前后左右上下都看了看,   SANYO STEREO RADIO CASSETTE RECORDER MODEL NO. M9805F  SANYO ELE
    自做自受 2026-01-06 21:15 1774浏览
  • 2026年1月6日,美国CES展会上有一则重磅消息,芬兰初创公司Donut Lab正式推出全球首款可量产全固态电池,该电池不仅实现5分钟满电、10万次循环寿命的性能飞跃,更已完成OEM量产适配,搭载该电池的电动摩托车将于今年第一季度交付用户。这一突破标志着长期停留在实验室阶段的全固态电池技术正式迈入商业化落地阶段,有望彻底解决传统锂电池续航短、充电慢、安全隐患三大核心痛点,为新能源产业带来颠覆性变革。这款全固态电池的性能参数堪称“碾压级”超越传统锂电池。据官方披露,其能量密度达到400Wh/kg
    面包超人Tech 2026-01-09 09:23 1588浏览
  • ESP32S3小智开发板烧录指南ESP32S3小智开发板烧录核心需做好硬件接线、烧录模式操作与软件配置,步骤如下: 1. 硬件接线:用USB转TTL模块连接,3.3V接板载3.3V(严禁5V)、GND共地,模块TX接开发板RX(GPIO44)、RX接TX(GPIO43),确保接线无松动。 2. 进入烧录模式:按住板载BOOT键不松,快速按EN复位键,先松EN再松BOOT,此时开发板进入烧录模式。  3. 软件配置:IDF环境下先执行`idf.py set-
    丙丁先生 2026-01-10 12:33 69429浏览
  • 在全球变暖、环境污染与生物多样性下降的生态危机下,发展科技的目的已不仅仅在于为各行各业提质增效,还在于促进人与自然的和谐发展。LoRaWAN作为一种面向大规模部署应用的低功耗IoT通信技术,正凭借着低功耗、远距离、大规模连接和低部署成本等特性,成为连接人类社会与自然生态的重要“沟通桥梁”。这座“沟通桥梁”不仅能将自然环境中原本难以察觉、零散分布的生态变化持续转化为可采集与分析的数据形态,使森林、河流、湿地与野生生物“开口说话”,还能帮助管理者在广袤、偏远、环境恶劣的区域中长期、稳定地获取生态数据
    华普微HOPERF 2026-01-13 15:58 415浏览
  • 在智能家居的网络架构中,Wi-Fi、蓝牙、Zigbee与Thread等通信协议是实现设备无线互联与协同控制的底层逻辑。然而,这些协议在标准体系、寻址方式与网络管理机制上却彼此独立,缺乏统一的互操作框架,在进行跨协议组网时需要依赖中心网关作为“翻译桥梁”,这不仅抬高了全屋智能的部署成本,还增加了系统的网络复杂度与不稳定性。在此背景下,行业迫切地需要一种能跨协议、跨生态与跨品牌通信的统一标准来破局,从而在根本上解决智能家居场景中设备难互联、生态难融合与通信不稳定等问题,将智能家居从“平台主导”阶段全
    华普微HOPERF 2026-01-07 11:08 1414浏览
  • 文:郭楚妤编辑:cc孙聪颖在硬核的美国科技展上,看到软萌的国宝大熊猫,是不是有一种反差感?这次,长虹将这份独特的“AI科技+国宝熊猫文化”带到了美国拉斯维加斯的CES展上,通过熊猫主题AI家电,以及全品类AI产品,在全球舞台上讲述着属于“东方智慧”的故事。于是,在此次CES展会上,你可以看到AI科技被赋予了文化的温度和脉络。打开长虹AI TV,智能体伙伴“熊猫小白”上线,化身全天候全场景的陪伴者。打开电视里的“熊猫乐园”,能够实时看到熊猫啃竹子、玩耍的治愈画面,仿佛把四川的竹林生态带到了身边。长
    华尔街科技眼 2026-01-08 15:22 1419浏览
  • 坚 守2025年于风雨飘摇中逝去。多年来,我如老牛耕垦,在这片希望的田野上持续耕耘。尽管每年收成不一、亦因人而异,但“老骥伏枥,志在千里”的古训,始终激励着我前行。过去一年,职场中虽遇波澜,然心境渐趋平和。恰如苏轼《观潮》诗中所喻:庐山烟雨浙江潮,未至千般恨不消。到得还来别无事,庐山烟雨浙江潮。历事后方知,潮起潮落不过常态,唯有坚守本心、专注所为,方能穿透迷雾、踏实前行。一、专利布局与维护全年围绕核心技术及新产品,累计申报发明专利3项、实用新型专利1项,其中2项发明专利已进入实质审查阶段。系统
    广州铁金刚 2026-01-09 10:40 1567浏览
  • 在高速数据传输的现代世界中,光模块扮演着至关重要的角色。它们如同信息高速公路上的“快递员”,负责将电信号转换为光信号进行远距离传输,再将光信号转换回电信号供设备使用。然而,在这看似简单的光-电转换过程中,有一个不起眼却不可或缺的元件在默默工作——它就是晶振,或称石英晶体振荡器。晶振:电子设备的“心跳”晶振的核心功能是产生稳定的时钟信号。想象一下,如果一场音乐会没有统一的节拍,演奏会变得混乱不堪。同样,在电子设备中,晶振提供的高精度时钟信号就像乐队的指挥,确保所有部件同步工作。在光模块中,这个“指
    TKD泰晶科技 2026-01-04 15:34 1828浏览
  • 分享一个最新的便携微孔雾化装置的原理图,主要功能为驱动微孔雾化,兼具外围的升压和检水。适合:可以适用于医用微网雾化器、桌面加湿器、补水仪或者香氛仪的雾化驱动电路参考。特点:整体硬件成本低,具备自动扫频追频以及自动检水功能,按键和指示灯设计方便简洁主要逻辑功能需求雾化片:108KHz,16mm直径,微孔超声波雾化片雾化驱动:自动扫频追频,雾化量另行标定,名义雾化速率:4mg/s按键1: 长按开机,再次长按关机;关机状态下进入低功耗以节省电池电量;按键1在开机状态下循环,高-中-低档位控制雾化速率档
    努力精进的硬件 2025-12-30 09:53 1206浏览
  • 2026年了,过去的一年工作和家庭事情都比较多,来面包板比较少。2026年事情好了很多,可以多来面包板分享自己的工作。 在新的一年里。工作方面,继续努力,自己的公司把业务都办理完成,能顺利营业就可以,主要也是为了自己工作方便。主业还是多参加比赛。具体的目标:(1)公司工商注册等都完成。(2)参加教学比赛2次。(3)完成论文3篇,一个项目论文,一个会议论文,这个是确定的,必须完成,自己在写一个论文。(4)参加一次技能比赛,视觉的比赛。 有时候运气也很重要,不是自己的也不去强求了
    curton 2026-01-05 09:59 77786浏览
我要评论
0
点击右上角,分享到朋友圈 我知道啦
请使用浏览器分享功能 我知道啦