
氮化镓(GaN)作为一种重要的宽禁带半导体,凭借其优异的电子特性,如高临界电场和高电子饱和速度,已成为高功率射频(RF)生成源的理想材料。近年来,基于GaN的IMPATT(冲击电离雪崩过渡时间)二极管在毫米波和太赫兹频段的应用受到了广泛关注,尤其是在高功率雷达和通信领域。
近日,斯坦福大学团队基于体GaN衬底薄化至~10 µm并键合金刚石热沉的技术方案,成功实现了高散热、高功率的GaN IMPATT振荡器,在52.3 GHz频率下输出功率达24.5 dBm(约281 mW),创毫米波段GaN IMPATT新纪录,为突破毫米波固态高功率源散热限制提供了创新路径。研究成果以“52 GHz Oscillation in GaN IMPATT Diode Bonded to Diamond With 24 dBm Output Power”为题,发表在IEEE Electron Device Letters。
核心技术创新:薄化+金刚石热沉协同
针对毫米波GaN IMPATT的自热与寄生电阻难题,团队提出将体GaN衬底薄化至极致并直接键合金刚石热沉,同时完整保留雪崩能力。
关键工艺包括:
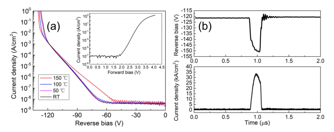
基于该工艺,器件雪崩能力显著提升,脉冲模式下最高承受33.5 kA/cm²电流密度(偏压152 V)。在V波段波导谐振腔脉冲测试(200 ns脉宽)中,实现52.3 GHz频率下24.5 dBm(约281 mW)输出功率,效率约0.1%,功率-频率乘积较前期20 µm衬底器件提升13倍。Silvaco TCAD热模拟进一步揭示,衬底薄化至10 µm可将结温冷却时间从3.9 µs缩短至2.3 µs;结合低热边界电阻(TBR)优化(如降至5 m²·K/GW),峰值结温可进一步降低约150 ℃,为翻芯片无衬底方案指明方向。
上述结果表明,通过边缘终端优化、衬底极致薄化、金刚石热沉集成与波导腔协同,实现了GaN IMPATT在毫米波段的高功率突破,器件雪崩电流密度与输出功率均大幅提升,展现了其在高功率雷达、毫米波通信及射频能源领域的广阔前景。
当前仍受热限制(更高偏置导致烧毁),未来需聚焦电-热协同设计:翻芯片无衬底、低TBR界面工程、接触电阻优化。这些改进有望将输出功率推向更高水平,真正开启GaN固态毫米波高功率时代。
图文导读

图1. GaN IMPATT二极管的主要制造步骤。插图分别为:基底厚度为9.4 µm的减薄晶圆的扫描电子显微镜图像、示意图以及封装后的GaN IMPATT二极管实物照片。

图2. 波导谐振腔示意图及组装好的射频测量电路图像

图3. (a) 制备的GaN IMPATT二极管的反向与正向(插图)特性曲线。
(b) GaN IMPATT二极管在脉冲工作模式下超过击穿电压时的典型电流-电压波形。

